Vendor Updates
Any updates to our City vendors will be posted here; Check back often for information.
For a printable version of the flyers, see the Related Documents.
spectrum channel changes
Related Documents
-
Vendor Updates
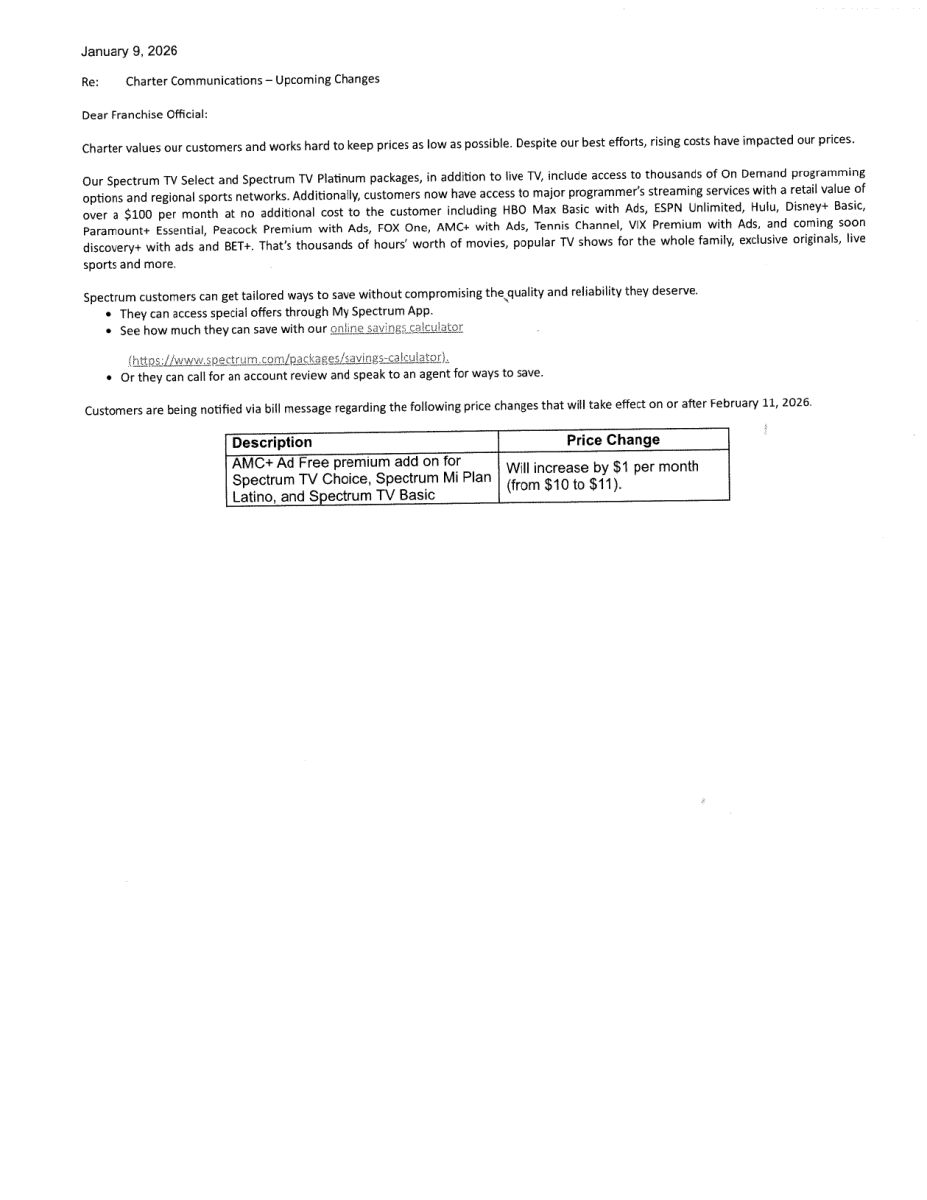
- spectrum rate changes ( PDF / 59 KB )
- spectrum channel changes ( PDF / 20 KB )
- Adults Day Center.pdf ( PDF / 1,752 KB )
- Ameren Biz Flyer ( PDF / 1,463 KB )
- Bulk Collection Guidelines.pdf ( PDF / 384 KB )
- The Covering ( PDF / 1,799 KB )
- CPR & AED Classes Available .pdf ( PDF / 4,032 KB )
- Fathers & Families Support Center.pdf ( PDF / 1,376 KB )
- Fathers & Families Youth Support Center.pdf ( PDF / 3,883 KB )
- Grandma Hands ( PDF / 3,593 KB )
- Help with Utilities .pdf ( PDF / 3,219 KB )
- MDOT Requests Keep Unauthorized Signs off Roadways.pdf ( PDF / 1,269 KB )
- MIM Trucking Academy .pdf ( PDF / 1,665 KB )
- Missouri American Water Lead Pipe Removal Project ( PDF / 166 KB )
- Plastic Recycling Myths.pdf.pdf ( PDF / 2,852 KB )
- Project Clear.pdf ( PDF / 889 KB )
- Project Clear-Keep Fats & Oils out of your Drain.pdf ( PDF / 3,111 KB )
- Project Fraud Alerts.pdf ( PDF / 1,819 KB )
- Radiation Exposure Compensation Act Information.pdf ( PDF / 2,393 KB )
- Recycling Guidelines.pdf ( PDF / 2,034 KB )
- Republic Services- Holiday Route Schedule.pdf ( PDF / 830 KB )
- Residential Yard Waste Collection Guidelines_ ( PDF / 573 KB )
- Saving our Children Thanksgiving Drive.pdf ( PDF / 3,063 KB )
- Spire Safety Tips ( PDF / 2,767 KB )